こんにちは。スターブレインの堀です。
2026年2月25日に実施された東京科学大(理工学系)、旧・東工大の数学の解答速報をお届けします。
東京科学大(理工学系)は5題180分です。相変わらず、ごつい問題が並んでいます(笑)。いかに3時間あるとは言え、すべての問題を解くことはあまり現実的ではないでしょう。
以前は整数問題や確率も出題されていましたが、今年は確率はなく第一問に整数問題があっただけで、他はすべて関数的な問題でした.また、本年は昔の東工大のような微積分の複雑な求積問題というよりも、第5問のような評価の問題に微積分が見られるだけで微積分が何題も出題されていた時代とは異なり、複素数平面なども含め様々な分野からの出題がありました.
全体的に計算力を要する問題が多く、
一部の問題は整数問題的発想や評価などの柔軟な式の取り扱いが要求されている
というのが東京科学大数学の近年の特徴です。難易度は全体では昨年と同程度でしょう。
第1問 整数の性質(数学A)標準
有理数p,qはすぐに求めることができたでしょう.他にないことの証明はあまり見かけたことがない受験生が多いと予想され、差がついたかもしれません。2018年の早稲田大理工や2012年の京都大に類題があるため、経験での差もついたかもしれません。


第2問 数列/場合の数(数学B・数学A)やや易
(1)が(2)への誘導のつもりだとは思いますが、むしろ場合の数の考え方で解いてしまった方が楽です。(3)も普通に考えるだけです。多数の類題がある問題のため、できれば完答しておきたい問題です。ただし、最後は場合分けがいるなど細かい部分にも注意が必要です。


第3問 図形と方程式/図形の性質(数学Ⅱ・数学A)標準
(2)まではただの計算問題です。初等的に考えることもできるのかもしれませんが、実際の試験上では考える必要はないでしょう。もともと計算が大変なことは織り込み済みのはずですから、ガンガン計算していくのみです。(2)の2次方程式の因数分解は考えにくいでしょう。解の公式でここもごり押し手もよいと思います。(3)の相似は一瞬ぎょっとしますが、単に辺の比に言い換えればよいだけです。


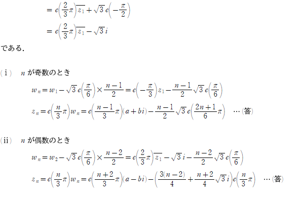
第4問 複素数平面(数学C)やや難
複素数平面上での線対称の処理です。難関大ではたまに問われます。解答のように、対称軸を実軸にもっていき、共役と結びつけることが方針です。本年も計算がすさまじいです。また、(2)では漸化式を解きますが、複素数の2項漸化式という見慣れない形であったため、ここは発想力も必要です。2つ項をずらして、調整すれば等差数列を作ることができます。



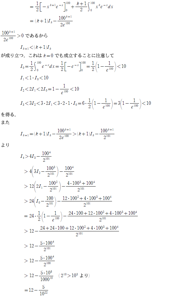
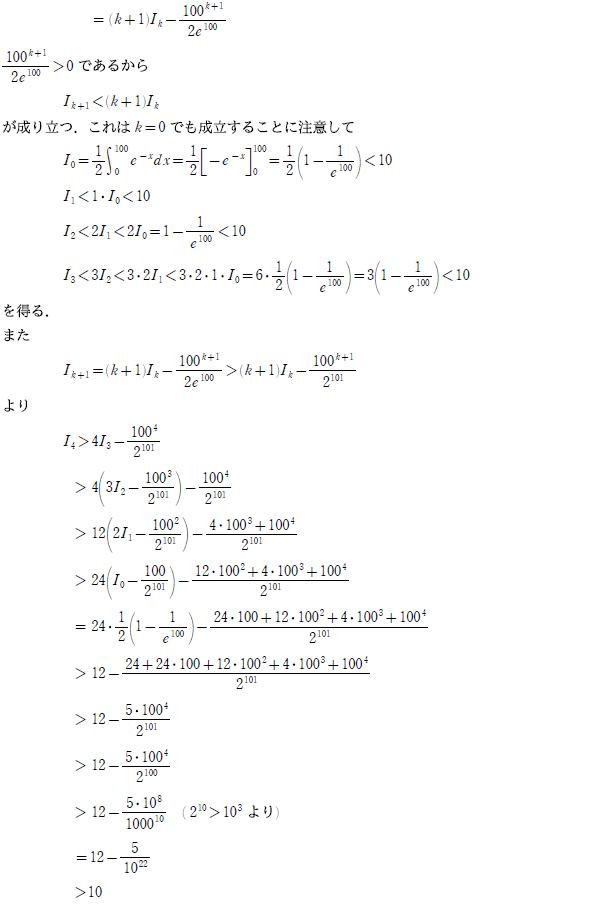
第5問 微積分(数学Ⅲ)やや難
微積分は求積ではなく評価でした。昔の東工大が好きだった三角関数と他の関数の積についての定積分の評価です。いわゆるリーマン・ルベーグの補題を用いる問題で、東工大や京都大で有名な問題がありますので、しっかりそのあたりを理解していれば比較的考えやすかったはすですが、普通の受験生はそこまで手はまわらないだろうと思います。


ということで、今回は2026年の東京科学大(理工学系)【旧・東工大】の解答速報をお届けしました。
近年、大学入試の二極化が進んでいます。難しい大学はとことん難しくなっています。特に数学はやりすぎではないかと思っています。到底、普通に勉強していて到達できるラインを超えています。では、受験生はどうしたらよいのでしょう?
重要なことは「やることを絞る」ことです。もちろん、広く全体的な基礎は前提ですが、志望校の傾向を知り、「極めるべきテーマ」と「基礎だけに止めておくテーマ」を明確にして勉強計画を立てることです。そうすれば、普通の受験生であっても東大や東科大、医学部のような超難関大にも合格できるはずです。
スターブレインでは本物の思考力をつけるための指導を行っています。興味がある方は是非、お問い合わせください!

